當我們有一群樣本在某一事件上的發生與否(Event or not),而且還知道持續多久的期間(Duration)才發生Event,此時我們可根據樣本此兩個依變項,畫出樣本的存活曲線(survival curves),而使用的方法為Kaplan-Meier。
另外我們可以依照樣本的特徵去分群,另外可以用Log-rank去檢定不同群體在存活曲線上是否存在顯著的差異。
資料介紹
資料檔是關於194個犯人的犯罪史資料,從他們離開監獄後(事件的出生),多久會再回到監獄(事件的死亡)作為研究焦點。資料中包含的變項有id(個人編號)、months(事件出生到死亡的時間)、censor(是否為censor的個案)、personal(人身犯罪)。
請以months做為依變項進行Survival Analysis,分別做出以下的Survival Function Curve:
(1)請考量censor的情況,以KM法(Kaplan-Meier)畫出總樣本的S(t)。
(2)以personal作為分群(strata)的依據,以KM法(Kaplan-Meier)畫出兩群的S(t),以及兩群的同質性檢定(Log-rank test)。
在此資料中,我們必須先知道兩個變項
Duration:一位受訪者從受到觀察到事件結束的時間(事件結束的原因可能脫離了觀察或事件已發生),在以上的資料Duration為變項months
Censor:Censor=1代表在研究期間事件未發生或脫離了觀察(亦表示Event=0);Censor=0代表在研究期間事件發生了(亦表示Event=1)
(1)語法
此處語法不再詳細介紹讀取資料檔與顯示資料檔的語法!!
以下2個語法的差別只在「personal作為分群」中多了STRATA personal;
其他全部一樣
PROC LIFETEST 執行存活分析
DATA=survival 資料集名稱為survival
METHOD=KM PLOTS=(S); 所用的方法為Kaplan-Meier
TIME months*censor(0); 指定樣本的Duration以及Event情形,當censor為0時,表示樣本Event了
第二段的語法多了STRATA personal;
表示要把資料依照personal作分群的動作!!
**************不分群*****************;
/*KM 存活時間曲線圖*/
PROC LIFETEST DATA=survival METHOD=KM PLOTS=(S);
TIME months*censor(0);
RUN;
************以personal作為分群*************;
/*KM 存活時間曲線圖 以drug分層*/
PROC LIFETEST DATA=survival METHOD=KM PLOTS=(S);
TIME months*censor(0);
STRATA personal;
RUN;

(2)報表 (給我一堂統計課)
1.不分群
在報表中最重要的是圖,以及統計的摘要結果
由摘要表可知,在11.6632個月時,已有25%的人發生Event;在28.2875個月時,已有50%的人發生Event;在36個月時,已有75%的人發生Event。全部樣本平均存活時間為24.4041個月。


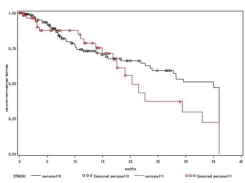
2.依personal分群
由於Log-rank的卡方值為1.2437,未達顯著水準,表示兩組的人在存活分析上無明顯地差異。


留言列表

{{ article.title }}